Projects

Frequency domain feedback control of temperature for a simplified earth system model

Controls and Dynamics,Climate Engineering (2025)
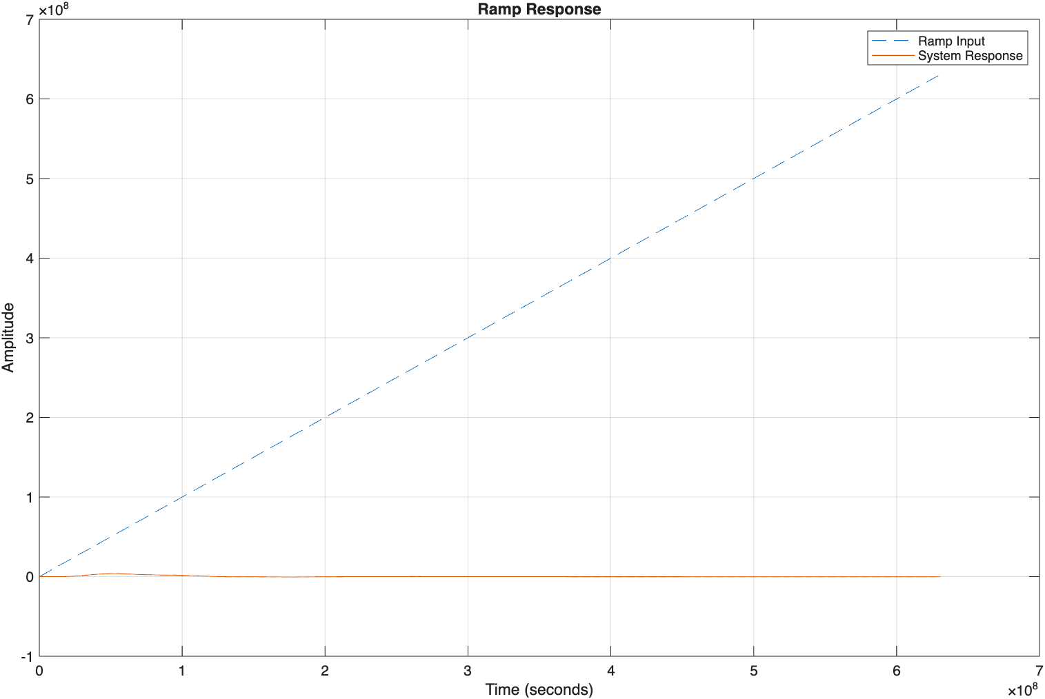
During my MS at Cornell, I took an academic course on Feedback Control Systems under Prof. Douglas MacMartin. For the course project, I designed a feedback controller in the frequency domain. Its goal was to stabilize Earth’s surface temperature in the presence of a ramped disturbance (greenhouse gases) by controlling the amount of radiative forcing the Earth receives. I analyzed the controller’s performance, including settling time and possible saturation of SAI.

Step Response Ramp input vs System response

Design of Lithium-Ion Battery for Formula Student Electric

Harsh Meel, M Danish-Battery Subsystem,Design Engineer,Automotive Engineering (2022)
In my third year of Undergrad, I worked as a Mechanical Design Engineer for IIT Bombay Racing. The team builds a battery-run formula-style car from scratch in a year and competes at Formula Student UK, an international student competition, where we won the Design Event in 2021.
Battery Stack Battery Assembly

Reliability Analysis of Renewable Grid Transition in New York Using Data-Driven Models

Machine Learning,Probability and Statistics,Renewable Grid (2024)
As New York transitions toward a zero-carbon grid, price volatility poses challenges for reliability and energy equity.In this project, which I undertook as part of the the Statistics and Machine Learning class for my MS at Cornell University, we look the possiblity of increase in factors like price spikes due to such transitions in the grid using data analytics.

Driver factor based Battery Energy Estimation

Harsh Meel, Kunal Jain-Probability and Statistics,Transient Modelling (2022)
Estimating the size of the battery (energy contained) is crucial for gaining a competitive edge in the Formula Student competition. In this project, we combined computer simulation results with real-life expected performance of our drivers to estimate the energy required for our car.
Energy AI art

Optimization of Electric Vehicle Charging Infrastructure

Optimization Theory, Vehicle Charging Infrastructure (2023)
In my last semester at IITB, I undertook this study of optimizing electric vehicle (EV) charging infrastructure along a pivotal Indian highway. Originating from my BTech Technical Project, this study leverages Optimization theory and established methodologies to formulate an efficient EV charging framework for the Mumbai-Pune route.This project ignited my interest in the realm of optimization research and computing.

BTP graphs results

Overtake Assist System

Harsh Meel,Ayush Jangir,Paarth Jain, Sabhya Sanchi-Institute Technical Summer Project,Modeling and Simulation (2020)
In the summer of 2020, during our first year of undergrad, we embarked on a project to enhance road safety.Our objective was to counter the prevalent issue of accidents arising from ill-timed overtaking maneuvers.We conceived a driver-assist system tailored to address this concern. The project’s success was underscored by a special mention from the Institute Technical Council at IIT Bombay.
Energy AI art